清华新闻网9月19日电 欧洲核子研究中心大型强子对撞机上的底夸克(LHCb)实验近期精确测量了质子-铅核pPb对撞中粲介子D0的核修正因子,为理解碰撞中的冷核物质效应提供了重要参考,同时暗示可能存在其他核物质效应。
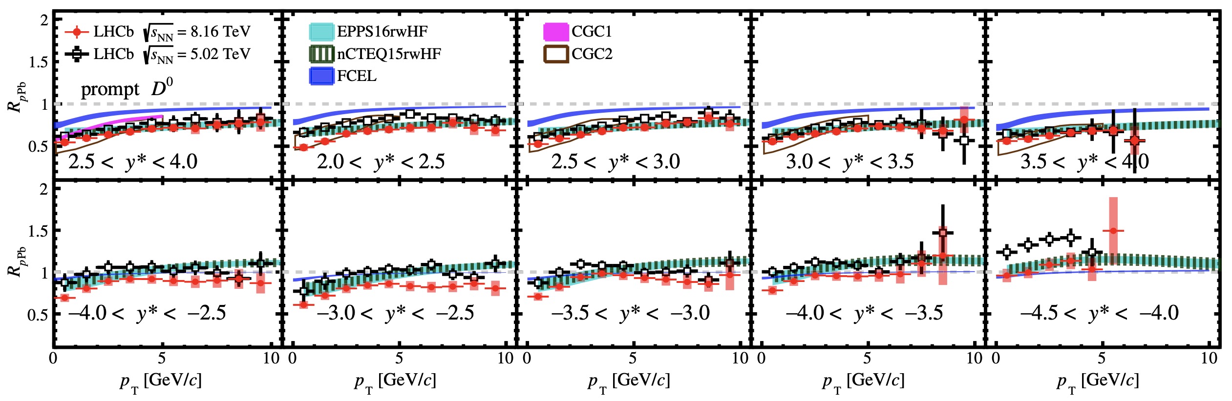
利用LHCb实验在2016年采集的8.16TeV的pPb对撞数据,研究团队精确测量了在该对撞系统中D0介子的产生截面,并通过与质子-质子对撞中产生截面的比较得到了D0介子的核修正因子。实验发现该物理量在前向快度区间存在显著压低,证实了pPb碰撞中冷核物质效应的存在。首次观测到该物理量在后向快度区间的高横动量区相比理论计算存在较明显的压低现象,暗示pPb对撞中可能存在多部分子散射或初、末态能损等其他核物质效应。

LHCb质子-铅核碰撞实验前向(上)和后向(下)快度区间D0介子的核修正因子
夸克胶子等离子体(quark-gluon plasma, QGP)是直接由解禁闭的夸克和胶子组成的强相互作用主导的物质形态,可能存在于早期宇宙和致密天体内部。高能重离子(重核)碰撞是在实验室中产生和研究QGP的唯一手段。在实验中通常可以通过测量QGP引起的热核物质效应来研究QGP的性质。但这些测量还可能会受到与QGP无关的冷核物质效应影响,实验上可通过pPb对撞相关测量来定量限定冷核物质效应。近年来人们也在pPb对撞中观测到多个热核物质效应的迹象,其形成机制已成为高能核物理领域研究热点之一。粲强子是热核与冷核物质效应的重要实验探针,该论文在pPb对撞对其进行精确测量,为相关核物质效应的研究提供了重要实验参考。
位于欧洲核子研究中心(CERN)的大型强子对撞机(LHC)是目前世界上能量最高的粒子加速器。LHCb是其上的大型实验装置之一,致力于精确测量重味强子(即含粲夸克或底夸克的强子)的性质,以期探索宇宙中正反物质不对称之谜、寻找超出标准模型的新物理,理解强相互作用。近年来,LHCb实验因其在重味强子测量等方面的独特优势,也在高能核物理研究中发挥越来越重要的作用。
相关成果于9月6日以“8.16 TeV质子-铅核碰撞中瞬发D0介子核修正因子测量”为题,发表于《物理评论快报》(Physical Review Letters)。清华大学工程物理系近代物理研究所博士生王剑桥完成了本次测量的主要工作,意大利INFN Cagliari研究所的孙佳音博士和工程物理系朱相雷副教授指导了该研究的分析工作。
本次研究由清华大学和INFN Cagliari的研究人员主导,北京大学、CERN和高能所等单位参与,以LHCb国际合作组的名义完成。按照高能物理学界惯例,论文由合作组全体成员依作者姓氏英文字母顺序共同署名。相关研究得到国家自然科学基金、国家重点研发计划资助,以及清华大学自主科研计划和“双一流”学科建设项目的经费支持。
清华大学于2000年加入LHCb实验国际合作组,是合作组发起成员单位之一,在探测器电子学和物理研究上均不断作出重要贡献。在LHCb探测器研制期间,工程物理系团队参与了外部径迹探测器和触发电子学的研制,近期也为LHCb升级中的闪烁光纤径迹探测器电子学的研制作出了重要贡献。LHCb清华组在物理研究方面也取得了一系列有国际影响力的研究成果。
论文链接:
https://journals.aps.org/prl/abstract/10.1103/PhysRevLett.131.102301
供稿:工程物理系
编辑:李华山
审核:郭玲