仰望浩瀚星空时,你好奇过某一颗星球样貌吗?你想知道一颗星球的质量吗?如果一颗星球的极小内核却占了绝大部分质量,你想知道其内核物质的构成吗?这些看似渺远的奥秘,他们的答案,却可以在地面核物理实验室通过原子核碰撞来找到。清华大学物理系教师肖志刚和他所带领的实验核物理小组给原子核碰撞拍摄了一部精确到万亿亿分之一秒的“电影”,带你领略从核子之微到宇宙之巨的精彩故事。现在,各位“观影嘉宾”请收好本篇“观影指南”,一同走进重离子物理的世界。
“电影背景”
中子星,一种质量超过太阳,而其占绝大部分质量的内核直径却只和海淀区相当的星体。原子核,一种占了原子几乎所有质量,却基本上没有体积的物质。这两种看起来差异巨大的物质,背后却蕴含了共同的物理规律,吸引了许多物理学家的目光。
众所周知,原子核是由质子和中子组成的。自然界中稳定存在的原子核,它们的中子数和质子数是大致平衡的。而当原子核内中子和质子数目偏离平衡时,体系就逐渐变得不稳定,描述这一现象的物理量,就是对称能。正是对称能这个物理量,它像一座桥梁,联系着原子核和中子星这两个尺寸上相差18个数量级的物理系统,成为国际上核物理学家们关注的一个焦点。
中子星离我们如此遥远,目前人类也无法前往中子星表面获取物质进行研究。因此当物理学家想在地球实验室研究原子核和中子星的性质时,唯一的方法就是加速两个原子核并让它们发生碰撞,来模拟类似于中子星条件的核物质。在原子核发生碰撞的瞬间,原子核受到压缩、随后解体,通过对这个过程进行精确测量,可以帮助人们深入理解强相互作用的基本性质、理解中子星等致密星体的结构与演化属性等。
“拍摄目的”

联系fm尺度原子核和km尺度中子星的原子核对称能
肖志刚团队经过多年的研究认识到,在重离子碰撞过程中,不同中子丰度的粒子其出射快慢受到对称能影响。如果将重离子碰撞比喻成两辆车不幸发生碰撞,在碰撞过程中会产生很多碎片,如果能对碎片飞出的方向和速度进行观测,则可以调查这起“事故”的主要责任方、事故原因及碰撞程度。同理,如果可以测量重离子碰撞中不同粒子的出射时标和出射次序,就可以为对称能性质的研究提供很好的机会,这便是给原子核碰撞拍一部万亿亿分之一秒“电影”的初衷。
“拍摄团队”

2018年肖志刚团队实验现场的照片
于是,肖志刚和他的团队便担任起了这部“电影”的“导演”和“制作团队”。要拍摄这样一部“电影”的周期非常长,在十年前,肖志刚就萌生了给核反应“拍电影”的想法,最终带着一届又一届学生组成的“制作团队”,完成了这部作品。
拍摄团队中还有一个至关重要的角色,就是“编剧”——理论物理学家。“导演”和“编剧”是相辅相成的,没有理论物理学家的推导,肖志刚团队所进行的实验无法得到指导。关于原子核碰撞这部影片的编剧,是来自南京大学、中国原子能研究院和广西师范大学等高校和研究机构的理论核物理学家们。
“拍摄设备”

CSHINE探测系统示意图
明确“电影”拍摄动机之后,“导演团队”需要一台能够精确到万亿亿分之一秒拍摄的超级“摄像机”。经过多年的努力,团队完成了硅条-硅条-CsI(Tl)晶体组成的三叠层粒子望远镜和平行板雪崩室探测器的制作、组装和测试工作,成功打造了一台这样的“摄像机”——CSHINE探测系统。该系统包含了气体、半导体和晶体等不同种类的探测器,涉及真空、气路、光电转换、信号放大、滤波成形、时间甄别、逻辑“快门”触发、数据获取等诸多实验技术。经过不断的建设与升级,这台“摄像机”在过去的六年中,完成了四轮束流实验,2018年和2019年的前两轮实验表明探测系统性能优良。在2022年第三轮实验中,团队升级了“摄影机”,添置了一套碘化铯晶体阵列,目的是探测碰撞初期释放的高能伽马射线。想象一下,还是两辆车相撞,如果“事故”现场增加一个收音设备,可以记录下事故发生瞬间的声音,就可以有更多的信息来调查碰撞发生的具体过程。同理,探测重离子碰撞产生的高能光子,获得的信息也更加全面。
“拍摄脚本”

天文HBT关联测量与核物理粒子关联测量
“电影”需要精确到仄秒(十万亿亿分之一秒,即秒)量级,除了拥有CSHINE探测系统这台超级“摄像机”之外,还需要用到非常精确的“拍摄脚本”——HBT强度干涉测量技术(HBT是Hanbury Brown和Twiss两位科学家的姓氏缩写),在核物理中也称为小角关联函数方法。最初HBT通过两个相互靠近的望远镜,记录天狼星光信号强度的符合信息,得到天狼星的角直径。后来人们将此方法拓展到核物理中,通过测量小相对角度内两个符合粒子的动量关联信息,得到核反应过程中碰撞区域的时间和空间的演化特性。
“影片三部曲”

NST杂志封面文章介绍用于HBT粒子关联函数测量的CSHINE探测系统
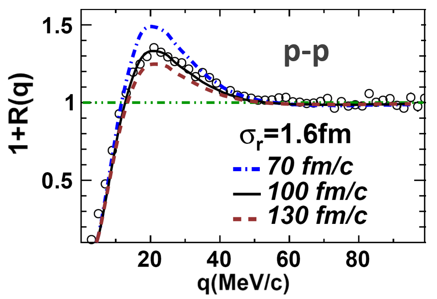
第一幕《“四击头”亮相,“演员”众登场》:第一幕是关于在重离子碰撞这一极快反应过程中,记录氢的三种同位素粒子“演员”的出场顺序和出场时间的故事。该片段的拍摄过程中,“导演团队”精细测量了中能重离子碰撞中小相对角度的两粒子符合事件,经过粒子鉴别后,找到两质子符合事件,重建质子关联函数实验结果。然后,根据质子间的相互作用、发射源尺寸和粒子发射时标,计算对应不同发射时标的关联函数理论曲线。最后,通过将实验数据与理论计算结果进行对比,得到质子的动力学发射时标,大约在3仄秒。在这么短的时间尺度下,为了比较不同种类粒子发射的先后顺序,他们还得使用更加精微的技术,即速度区分的粒子关联函数技术。想象一下,假设氘核比质子先发射出来,那么当质子的速度较大时,质子就会追上氘核,产生较强的关联效果;而当质子速度较小时,它们就会越来越远,最终的关联效果就弱。通过这种技术,实验组得到了氕、氘和氚的出射次序,确定了丰中子的氚核出射更早,其次是氘核和质子。粒子“出场顺序”的测量类似于给原子核拍摄了万亿亿分之一秒的“电影”,相关物理结果于2022年在PhysicsLetterB上发表[Physics Letters B 825,136856(2022)],这为使用CSHINE开展费米能区重离子碰撞实验研究打下良好的基础。

关联函数提取发射时标
第二幕《偏在微纳做“道场”》:该片段主要讲述在重离子电光火石般的碰撞过程中,丰中子粒子和缺中子粒子以“乒乓”模式交替出射的故事。在“看到”粒子的“出场顺序”后,团队进一步提出,一次核反应中先后出射的两个“演员”粒子间的中子丰度是否存在显著联系。通过分析每次碰撞中与中等质量碎片符合出射的氚和氦-3的能谱和产额比,他们发现,虽然氚和氦-3的能谱呈现出标度现象,但它们的产额比与关联中等质量碎片的中质比呈现显著的反关联。也就是说,如果先出射的碎片相对丰中子,则伴随出射的轻粒子相对缺中子,反之亦然,呈现一种有趣的“乒乓”模式。这一幕记录了核反应中“演员”(粒子)的出射模式,为研究核碰撞动力学与核子结团出射性质提供了新思路,相关结果于2023年在PhysicalReview C上发表[PhysicalReview C, 107, L041601 (2023)]。

与重碎片符合的轻粒子产额示意图
第三幕《捕捉原子核碰撞最初的那束光》:该片段主要讲述通过测量重离子碰撞中的高能光子谱来认识原子核内高动量成分和短程核子-核子关联的故事。首先让我们想象一下原子核内部的情形,研究表明,原子核内的核子并不“安静”,像一屋子嘈杂的人群那样。但核子间存在一定的几率形成配对状态(短程关联),类似形成了一对“舞伴”。理论上认为,这种关联会导致核子动量分布出现一个显著的高动量成分。为了从实验上验证这个图像,肖老师团队在CSHINE中加入高能光子探测阵列,去捕捉碰撞早期的那束光。通过测量高能韧致辐射光子能谱,并与理论计算结果对比,他们在90%的置信度水平上,揭示了原子核内核子高动量成分的存在。这个工作从一个全新的视角展现了原子核内核子-核子短程关联的性质,相关结果最近在PhysicsLetterB上发表[Physics Letters B 850, 138514 (2024)]。

高能光子“拍摄设备”和光子能谱
“彩蛋”
这台超级“摄像机”——紧凑型重离子碰撞谱仪CSHINE(Compact Spectrometer for Heavy IoN Experiment),其开头的“C”也寓意“China”。“我希望我们中国(China)能在重离子物理领域闪耀(shine)整个世界,这就是CSHINE!”肖志刚满怀憧憬地说。
学道须当猛烈,始终确守初心。保持对自然的好奇和敬畏,这是物理学家们进行一切探索和研究的初心。在刚刚结束的第四轮束流实验中,他们又增加了中子探测器阵列,以期捕获到最难测量到的中子。期待肖老师团队及团队未来能带来更多精彩“作品”。
(清华新闻网3月21日电)
记者:吴子璇