清华新闻网12月14日电 近日,清华大学物理系刘永椿副教授等人提出利用周期脉冲驱动实现原子自旋压缩的方案,能够在常见的耦合系统中制备自旋压缩态,将这种量子态作为干涉仪的输入态,测量精度可达到海森堡极限。
压缩态是多粒子系统中的一种纠缠态,其量子噪声能够低于非纠缠态(相干态)的水平,因此在量子精密测量和量子信息领域具有重要应用价值。例如,典型激光场为相干态光场,其量子噪声对应的测量精度为标准量子极限(与根号N成反比,N为粒子数),而利用压缩态光场则能够使测量精度突破标准量子极限,这一原理已在激光干涉引力波探测器(LIGO)中得到应用。与光场类似,对于由大量独立原子组成的原子系综,其集体自旋状态为自旋相干态,对应的测量精度受限于标准量子极限。若制备出自旋压缩态,则能够降低量子噪声,使测量精度突破标准量子极限,最终到达由不确定关系所限制的海森堡极限(与N成反比)。然而,自旋压缩态的制备一直面临很大的挑战。

图1:(a)(b)光-原子相互作用系统和偶极-偶极相互作用系统示意图;(c)典型脉冲方案示意图;(d)在脉冲方案作用下两个子系统各自的量子态演化,这里在Bloch球上画出了量子态的准概率分布;(e)不同脉冲数下压缩系数随时间的演化。
该工作提出一种动力学合成压缩相互作用的机制,能够在常见的耦合系统中有效地制备自旋压缩态。如图1所示,由两个子系统构成的耦合系统,如光-原子相互作用系统、偶极-偶极相互作用系统等,其本身相互作用形式是“非圧缩型”的,即仅依靠自身的动力学演化并不能得到自旋压缩态。该工作提出通过施加周期性的转动脉冲,使其中一个子系统(J系统)充当“媒介”的角色进行信息的传递和处理,可以在另外一个子系统(S系统)中等效地合成“压缩型”的相互作用,进而通过动力学演化制备出自旋压缩态。如图2所示,通过设计相应的脉冲序列,可实现等效双轴扭曲型自旋压缩,其最佳压缩度对应的测量精度可达到海森堡极限,即能够实现最大程度的量子噪声压缩。

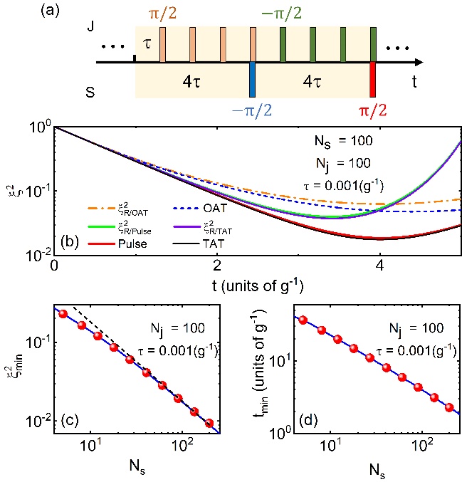
图2:(a)实现双轴扭曲型自旋压缩的脉冲方案示意图;(b)压缩系数随时间的演化;(c)-(d):最佳压缩度和最佳压缩时间关于系统粒子数的标度律。
另外,该方案获得的等效压缩相互作用强度具有集体自旋增强效应(与原子数成正比),尤其在大粒子数系统中有助于加速实现最佳压缩,且等效压缩相互作用系数的正负号可调,从而可应用于非线性干涉仪的时间反演读出过程,能有效提高干涉仪的测量精度。
研究成果以“动力学合成海森堡极限自旋压缩”(Dynamic synthesis of Heisenberg-limited spin squeezing)为题发表于《量子信息》(npj Quantum Information)。论文第一作者为清华大学物理系2017级博士生黄龙刚,合作者包括物理系吕嵘研究员,通讯作者为物理系刘永椿副教授。该工作得到了基金委、科技部、清华大学低维量子物理国家重点实验室、量子信息前沿科学中心和广东省科技厅的资助。
论文链接:
https://www.nature.com/articles/s41534-021-00505-z
供稿:物理系
标题图设计:金娅辰
编辑:李华山
审核:吕婷