环境学院陈吕军、田金平团队在中国工业园区低碳发展研究中取得重要进展
清华新闻网2月27日电 2月20日,清华大学环境学院陈吕军、田金平团队在《自然·通讯》(Nature Communications)在线发表题为《基于能源基础设施的中国工业园区碳减排》(Managing energy infrastructure to decarbonize industrial parks in China)的研究论文。研究首次构建了中国工业园区的能源基础设施数据库,并开发了综合评价模型以量化园区能源基础设施的温室气体减排潜力、减排成本和协同环境效益,为我国工业园区低碳发展提供了清晰有力的决策依据。
应对气候变化是当今人类社会面临的共同挑战,中国政府承诺在2030年左右二氧化碳排放达峰。工业是应对气候变化的重点领域,中国有2543家国家级和省级园区,贡献了50%以上的工业产出,是国家重要的生产空间。《工业绿色发展规划(2016-2020年)》提出为控制温室气体排放,部分园区应率先达到碳排放峰值。园区绿色低碳循环发展已成为国家打好污染防治攻坚战、建设生态文明的迫切需求。研究园区温室气体(GHG)排放特征与控制,具有重要科学价值和现实意义。
中国工业园区数量多、种类广、发展各异,园区GHG排放特征与控制方法一直未有系统、充分地揭示。本研究建立了中国工业园区能源基础设施的大样本、高分辨地理信息数据库,涵盖了中国1604家省级及以上园区的能源基础设施(截至2014年),在役机组共计4542个,总容量为515 GW,占同年全国发电装机容量的38%。研究分析了园区能源基础设施的技术特征、能源效率、温室气体排放(图1)等,发现能源基础设施存量中燃煤机组占总容量的87%,单机30MW及以下小机组占总数量的59%,能源基础设施温室气体排放占园区排放量的75%左右。能源基础设施提高能效、减少温室气体排放对于园区低碳发展意义重大。
研究提出了园区能源基础设施温室气体减排5种针对性技术途径:燃煤锅炉改造为燃气锅炉(M1);垃圾焚烧炉替代燃煤锅炉(M2);抽凝/纯凝汽轮机升级为背压汽轮机(M3);大容量燃煤机组替代小容量燃煤机组(M4);天然气联合循环机组替代小容量燃煤机组(M5)。

图1 园区能源基础设施温室气体排放
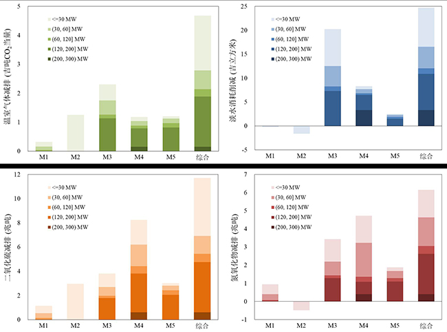
进一步地,本研究构建了能源基础设施温室气体减排“年份-存量”综合评价模型,建立了在役设施与减排技术途径的优选匹配方法,揭示了不同减排技术情景及能效提升目标下,园区能源基础设施的温室气体减排潜力、减排成本和协同环境效益。2014年,1604家中国省级及以上园区能源基础设施的温室气体排放、淡水消耗、二氧化硫排放和氮氧化物排放分别占同年全国总量的18%、5%、12%和15%。基准情景下,园区能源基础设施存量在其剩余服役时间(平均跨度为2015~2032年)的累积温室气体排放为462亿吨CO2当量,相当于政府间气候变化专门委员会《全球升温1.5℃特别报告》中全球碳预算的11%。综合情景下将M1-M5进行组合实施,相比基准情景可实现温室气体减排8~16%,并可协同节水、减排二氧化硫和氮氧化物34~39%、24%~31%和10%~14%;同时,减排具有一定经济效益,综合情景下单位减排成本为-519元/吨CO2当量(2015年可比价)。

图2 各减排技术作用情景下的环境效益
环境学院2019届博士毕业生郭扬为论文第一作者,田金平副研究员和陈吕军教授为论文共同通讯作者。研究团队长期致力于中国工业园区的绿色低碳循环发展研究,在园区物质能量代谢调控、资源环境效率提升、可持续水资源管理、绿色发展系统优化等方面开展了长期深入的研究和实践,为生态环境部、商务部、科技部、工信部等推进园区生态化、绿色发展提供了有力的技术支撑。本研究得到了国家自然科学基金项目支持。
论文链接:
https://www.nature.com/articles/s41467-020-14805-z
供稿:环境学院
编辑:李华山
审核:吕 婷